Sinhala Notations

Replies: 33 - Views: 177

NuWanLanKa: 05/09/20 - 22:40:49
30-Apa hamuwuna thena



NuWanLanKa: 06/09/20 - 07:02:48
31-Weradi karala



NuWanLanKa: 12/09/20 - 19:48:04
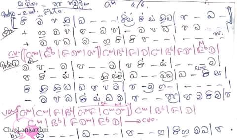
32-Gan iwure thuru latha



NuWanLanKa: 30/03/25 - 06:51:07
33-Tharu yaayee



«PREV
7/7

Home>Forums>~*DreaM WorlD*~ Club
>~*DraM WrlD*~>Sinhala Notations

ChatLanka 2013-2023